Inflation in an accreting, rotating black hole is followed by BKL oscillatory collapse (Hamilton 2017)

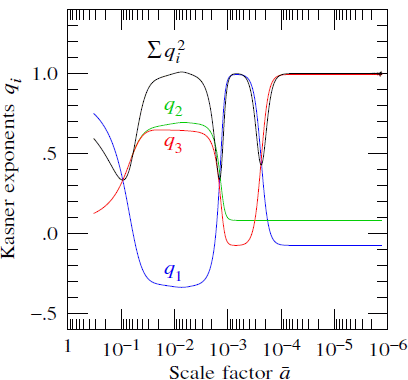
Belinski, Khalatnikov & Lifshitz (1972) argued that collapse to a spacelike singularity would generically be chaotic and oscillatory. The spatial metric can be thought of as ellipsoid with 3 axes \(a_i\). In BKL collapse, power-law “Kasner” epochs are punctuated by bounces. During a Kasner epoch, the scale factors \(a_i\) evolve as \[ a_i \propto ( a_1 a_2 a_3 )^{q_i} \ , \quad \sum_i q_i = 1 \ , \quad \sum_i q_i^2 = 1 \ . \] Inflation and conformally separable collapse (Hamilton & Polhemus 2011) are just the first two Kasner epochs of BKL collapse. The Kasner exponents of the second epoch are those of Schwarzschild.


  Conclusion