3740 Home ASTR 3740 Spring 2020 Homepage

syllabus | timetable | projects | problems | clicker questions | texts | images

Cosmic Microwave Background (CMB)


Click on any image to find the original source.


History

The CMB was discovered serendipitously by Bob Wilson and Arno Penzias in 1964 (Nobel prize 1978)
Wilson and Penzias in front of the Holmdel Horn Antenna, Bell Labs, New Jersey
The CMB had been contemporaneously predicted theoretically by Bob Dicke's group at Princeton
Graph from Dicke et al ApJ Lett paper Title of Penzias & Wilson ApJ Letters paper

COsmic Background Explorer (COBE) map (1993)


COsmic Background Explorer (COBE) spectrum (1989)

The resulting CMB temperature (Fixen 2009)

T0 = 2.7255 ± .0006 K

Maps from balloon-borne instruments (2000/2001)

BOOMERAnG
<
MAXIMA
 

CBI

DASI

WMAP Wilkinson Microwave Anisotropy Probe (2003)

WMAP total
WMAP including dipole

WMAP fluctuations

WMAP Wilkinson Microwave Anisotropy Probe (2006)

WMAP Polarization


WMAP Wilkinson Microwave Anisotropy Probe (2008)


Planck Satellite (2013)


WMAP Power Spectrum (2003)


WMAP Power Spectrum (2006)

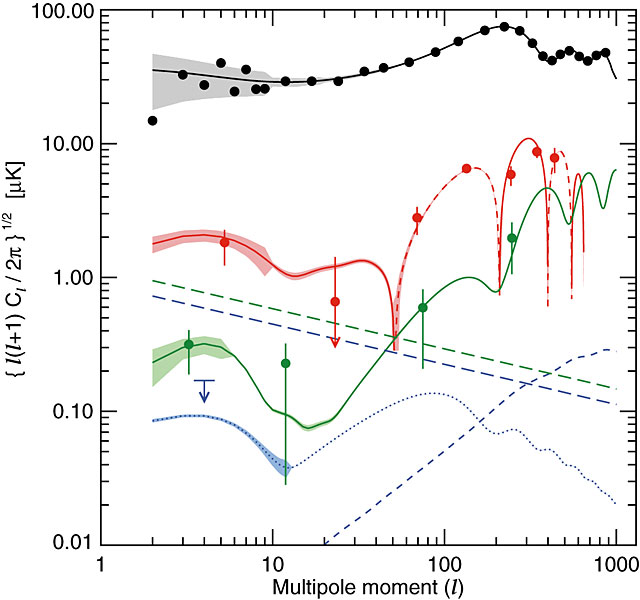
TE EE ···BB Polarization


WMAP Power Spectrum (2008)


Planck + WMAP + Atacama Cosmology Telescope + South Pole Telescope Power Spectrum (2013)

The horizontal scale is logarithmic up to l = 100, linear thereafter.

Dependence of CMB power on cosmological parameters (Hu & Dodelson 2002)


 3740 Home ASTR 3740 Spring 2020 Homepage

syllabus | timetable | projects | problems | clicker questions | texts | images

Updated 2020 Apr 13