3740 Home ASTR 3740 Spring 2019 Homepage

syllabus | timetable | projects | problems | clicker questions | texts | images

Big Bang Nucleosynthesis


Click on any image to find the original source.


Big Bang Nucleosynthesis reactions


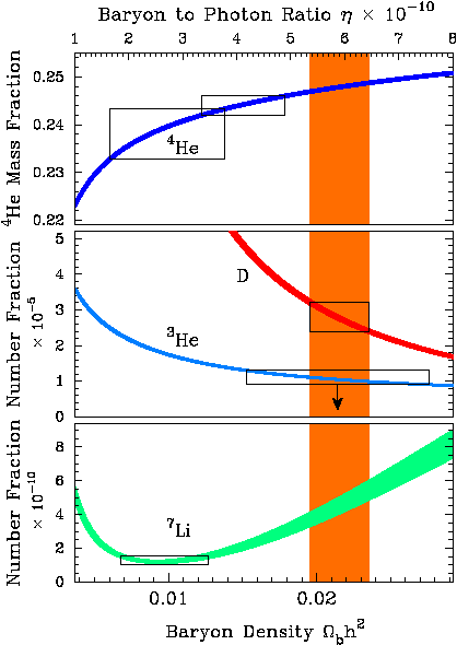
Light Element Abundances from Big Bang Nucleosynthesis

Kirkman, Tytler et al. (2003)  

\(\implies \Omega_{\rm b} h^2 = \) \(0.0214±0.0020\)
\(\implies \Omega_{\rm b} = 0.048±0.005\) if \(h = 0.67\)

D/H from Intergalactic Absorption towards Quasar 1243+3047

Kirkman, Tytler et al. (2003)
Average of 5 quasars
including Q1243+3047
\(\implies D/H = 2.8 \pm 0.4 \times 10^{-5}\)

Simulations of the Lyman alpha forest

Davé, Hernquist, Katz & Weinberg (1999)


 3740 Home ASTR 3740 Spring 2019 Homepage

syllabus | timetable | projects | problems | clicker questions | texts | images

Updated 2019 Jan 13