3740 Home ASTR 3740 Spring 2007 Homepage

syllabus | timetable | projects | problems | texts | images

Cosmic Microwave Background


Click on any image to find the original source.


COsmic Background Explorer (COBE) map (1993)

COsmic Background Explorer (COBE) spectrum (1989)

The resulting CMB temperature (Fixen & Mather 2002)

̃ T0 = 2.725 ± .001 K

Maps from balloon-borne instruments (2000/2001)

BOOMERAnG
<
MAXIMA
 

CBI

DASI

WMAP Wilkinson Microwave Anisotropy Probe (2003)

WMAP total
WMAP including dipole

WMAP fluctuations

WMAP Wilkinson Microwave Anisotropy Probe (2006)

WMAP Polarization


WMAP Wilkinson Microwave Anisotropy Probe (2008)


WMAP Power Spectrum (2003)


WMAP Power Spectrum (2006)

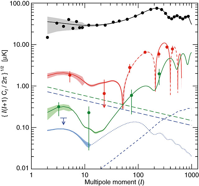
TE EE ···BB Polarization


WMAP Power Spectrum (2008)


Dependence of CMB power on cosmological parameters (Hu & Dodelson 2002)


 3740 Home ASTR 3740 Spring 2007 Homepage

syllabus | timetable | projects | problems | texts | images

Updated 2 Apr 2007