3740 Home ASTR 3740 Spring 2007 Homepage

syllabus | timetable | projects | problems | texts | images

Big Bang Nucleosynthesis


Click on any image to find the original source.


Big Bang Nucleosynthesis codes


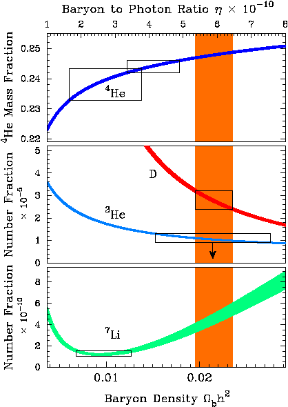
Light Element Abundances from Big Bang Nucleosynthesis

Kirkman, Tytler et al. (2003)  

Þ Wbh2 = 0.0214±0.0020
Þ Wb = 0.040±0.004
if h = 0.73


D/H from Intergalactic Absorption towards Quasar 1243+3047

Kirkman, Tytler et al. (2003)
Average of 5 quasars
including Q1243+3047
Þ D/H = 2.8±0.4 × 10-5

Simulations of the Lyman alpha forest

Davé, Hernquist, Katz & Weinberg (1999)


 3740 Home ASTR 3740 Spring 2007 Homepage

syllabus | timetable | projects | problems | texts | images

Updated 2 Apr 2007